Computer Networking • CS 414 & 514

Fall 2014 Schedule


The first section is one day long, the remaining seven sections are two weeks long:

  1. Introduction

  2. The Application Layer

  3. The Transport Layer

  4. The Network Layer

  5. The Data-Link Layer

  6. The Physical Layer

  7. Peer-to-Peer Networks

  8. Sensor Networks

Linked material from the ACM or the IEEE can be downloaded for free from the Guggenheim Library within the monmouth.edu domain.

Unless otherwise indicated, the phrase “X through Y” means “from the beginning of X to the end of Y.”

Chapter and section titles are from the fifth edition of Kurose and Ross, the fifth edition of Peterson and Davie, and the fifth edition of Tanenbaum and Wetherall.

• indicates a test day.
Section 1: Introduction, Wednesday, 3 September.

Class Readings
Kurose and Ross: Chapter 1 (Computer Networks and the Internet).
Other Readings
Peterson and Davie: Chapter 1 (Foundation).
Tanenbaum and Wetherall: Chapter 1 (Introduction), sections 1.1 (Uses of Computer Networks) through 1.5 (Example Networks), optional: sections 1.6 (Network Standardization) through 1.8 (Outline of the Rest of the Book).
Section 2: The Application Layer, Monday, 8 September through Wednesday, 17 September.

Class Readings
Kurose and Ross: Sections 2.1 (Principles of Network Applications) through 2.5 (DNS—The Internet’s Directory Service), optional: sections 2.7 (Socket Programming with TCP) and 2.8 (Socket Programming with UDP).
Other Readings
Peterson and Davie: Chapter 9 (Applications), optional: sections 9.2 (Multimedia Applications) and 9.4 (Overlay Networks).
Tanenbaum and Wetherall: Chapter 7 (The Application Layer), sections 7.3.1 (Architectural Overview) through 7.3.3 (Dynamic Web Pages and Web Applications), optional: sections 7.4.1 (Digital Audio) and 7.4.2 (Digital Video).
Class notes
The Application Layer
Application-Layer Services
The Presentation and Session Layers
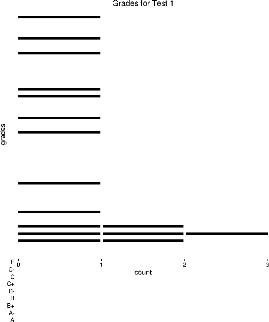
Test 1 — Wednesday, 17 September
The answers.
The grades.
Section 3: The Transport Layer, Thursday, 18 September through Wednesday, 1 October.

Class Readings
Kurose and Ross: Chapter 3 (Transport Layer).
Other Readings
Peterson and Davie: Chapter 5 (End-to-End Protocols), sections 5.1 (Simple Demultiplexer (UDP)) and 5.2 (Reliable Byte Stream (TCP)), optional: sections 5.3 (Remote Procedure Call) and 5.4 (Transport for Real-Time Applications (RTP)); chapter 6 (Congestion Control and Resource Allocation), sections 6.1 (Issues in Resoure Allocation) through 6.4 (Congestion-Avoidance Mechanisms).
Tanenbaum and Wetherall: Chapter 6 (The Transport Layer), sections 6.1 (The Transport Service) through 6.5 (The Internet Transport Protocols: TCP), optional: sections 6.6 (Performance Issues) and 6.7 (Delay-Tolerant Networking).
Class notes
The Transport Layer
Internetworking
IP, UDP, & TCP
Flow and Congestion Control
Test 2 — Wednesday, 1 October
The test.
The grades.
Section 4: The Network Layer, Thursday, 2 October through Wednesday, 15 October.

Class Readings
Kurose and Ross: Chapter 4 (Network Layer and Routing), optional: sections 4.6 (What’s Inside a Router?) and 4.8 (Multicast Routing).
Other Readings
Peterson and Davie: Chapter 3 (Internetworking), sections 3.1 (Switching and Bridging) through 3.3 (Routing).
Tanenbaum and Wetherall: Chapter 5 (The Network Layer).
Class notes
The Network Layer
Routing
Congestion Control
Quality of Service
Test 3 — Wednesday, 15 October
The answerss.
The grades.
Section 5: The Data-Link Layer, Thursday, 16 October through Wednesday, 29 October.

Class Readings
Kurose and Ross: Chapter 5, optional: sections 5.8 (Link Virtualization: A Network as a Link Layer) and 5.9 (A Day in the Life of a Web Page Request).
Other Readings
Peterson and Davie: Chapter 2 (Getting Connected), sections 2.1 (Perspectives on Connecting), 2.3 (Framing) through 2.5 (Reliable Transmission).
Tanenbaum and Wetherall: Chapters 3 (The Data Link Layer) and 4 (The Medium Access Control Sublayer), optional: sections 3.5 (Example Data Link Protocols), 4.5 (Broadband Wireless) through 4.7 (RFID).
Class notes
The Data-Link Layer
Flow & Error Control
Local Area Networks
Test 4 — Wednesday, 29 October
The test.
The grades.
Section 6: The Physical Layer, Thursday, 30 October through Wednesday, 12 November.

Drop Day — Tuesday, 4 November
Other Readings
Peterson and Davie: Chapter 2 (Getting Connected), sections 2.2 (Encoding (NRZ, NRZI, Manchester, 4B/5B)), 2.6 (Ethernet and Multiple Access Networks (802.3), and 2.7 (Wireless).
Tanenbaum and Wetherall: Chapter 2 (The Physical Layer), sections 2.1 (The Theoretical Basis for Data Communication) through 2.3 (Wireless Transmission) and section 2.5 (Digital Modulation and Multiplexing). Optional: sections 2.4 (Communication Satellites) and 2.6 (The Public Switched Telephone Netowork) through 2.8 (Cable Television).
Class notes
Wired Transmission Media
Wireless Transmission Media
Digital Modulation and Multiplexing
Data Communication
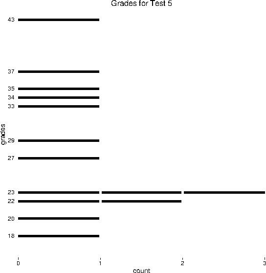
Test 5 — Wednesday, 12 November
The test.
The grades.
Section 7: Peer-to-Peer Networks, Thursday, 13 November through Wednesday, 12 November.

Thanksgiving Break — Wednesday, 26 November
Class Readings
A Survey of Peer-to-Peer Content Distribution Technologies by Stephanos Androutsellis-Theotokis and Diomidis Spinellis in ACM Computing Surveys, December, 2004.
A Survey on the Design, Applications, and Enhancements of Application-Layer Overlay Networks by Jinu Kurian and Kamil Sarac in ACM Computing Surveys, November, 2010.
Other Readings
Peterson and Davie: Section 9.4 (Overlay Networks).
Tanenbaum and Wetherall: Sections 7.5.3 (Content Delivery Networks) and 7.5.4 (Peer-to-Peer Networks).
Vu, Lupu and Ooi: Chapters 1 (Introduction), 2 (Architecture of Peer-to-Peer Systems), 3 (Routing in Peer-to-Peer Networks), 8 (P2P Programming Tools), 9 (Systems and Applications).
Class notes
Peer-to-Peer Networks
Peer-to-Peer Architectures
Peer-to-Peer Routing
Peer-to-Peer Implementations
Test 6 — Monday, 1 December
The test.
The grades.
Section 8: Sensor Networks, Thursday, 13 November through Wednesday, 10 December.

Last class — Wednesday, 10 December
Class Readings
Topology Control in Wireless Ad Hoc and Sensor Networks by Paolo Santi in ACM Computing Surveys, June, 2005.
A Survey of Adaptive Services to Cope with Dynamics in Wireless Self-Organizing Networks by Cigdem Sengul and Aline Carneiro Viana and Artur Ziviani in ACM Computing Surveys, August, 2012.
Class notes
Sensor Networks
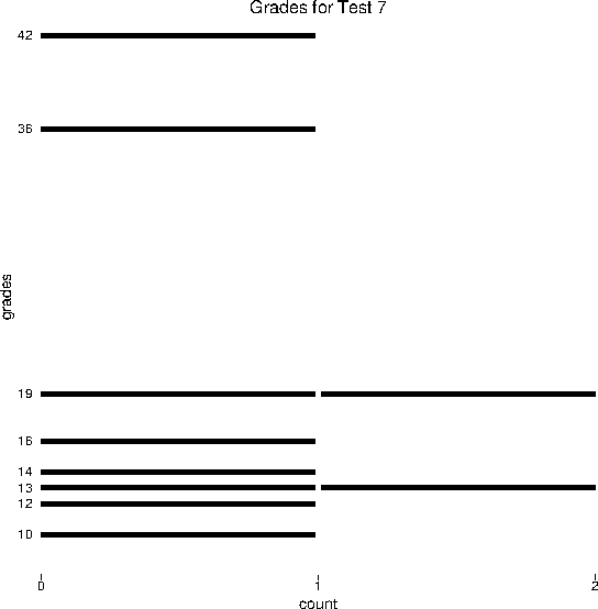
Test 7 — Wednesday, 10 December
The test.
The grades.

Open Lecture on a topic to be determined at 5:30 to 7:30 on Wednesday, 17 December in Bey 226.

This page last modified on 2014 September 3.

Creative
    Commons License