Outline
  
  -  Review and placement.
  
-  Signals
  
-  Representing signals.
    
  
-  Signals under transmission.
  
-  Maximum data rates.
    
    -  Nyquist’s and Shannon’s theorems.
    
 
Another View
  
  -  Networks look like this:
     
 
   
-  However, networks also look like this:
     
 
     
    -  Digital: a fake, two-valued world.
    
-  Analog: the real, infinitely-valued world.
    
 
The Physical Layer
  
  -  The physical layer mediates between a system and its
  environment.
    
    -  A system: the host; an environment: the network. 
    
 
-  The physical layer does almost no networking.
    
    -  It translates between digital and analog representations. 
    
 
-  The translation’s defined by physics, engineering, and the
  network.
  
Signals
  
  -  A signal is a time-varying characteristic of a physical medium.
    
    -  Voltage or current in a copper wire. 
    
-  Displacement from rest in a piano string.
    
 
-  A signal can be represented as a function of time g(t).
     
 
   
Periodic Signals
  
Example
  
  -  The ASCII representation for ‘b’ is 01100010. 
 
   
-  Repeat g(t) to get the periodic signal
  g′(t).
     
 
   
Frequency
  
  -  The frequency f of a periodic signal is the period p
  inverted.
    
    -  p time per cycle.
    
-  f = 1/p Hz, Hertz or cycles per time.
    
 
-  A parameter on variable t is a proportional knob for frequency.
     
 
   
Representing Signals
  
    | 
 
     | Jean Baptiste Joseph Fourier 1768–1830
 | 
  
Fourier Series
  
Fourier Parameters
  
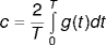
  -  Integrate g over the period T to find c:
     
 
   
-  Integrate to find the ith harmonics:
     
 
   
Parameters Example
  
  -  Given the periodic version of the ASCII ‘b’ function 
 
   
-  the Fourier parameters are
     
 
   
Approximation Example
  Move the mouse over the upper coordinate of a harmonic plot to
    select that harmonic and all earlier ones.
 
  
Harmonics
  
  -  Each harmonic represents a component signal.
    
    -  Higher harmonics represent higher-frequency signals. 
    
 
-  The first trade-off: harmonic count vs approximation accuracy.
    
    -  The more harmonics included, the more accurate the approximation. 
    
 
-  But what’s the cost of including a harmonic?
  
Attenuation
  
  -  Attenuation is the lost of signal power due to
  “friction.”
  
-  Most media attenuates higher frequencies more than lower frequencies.
  
-  Unequal harmonic attenuation leads to signal distortion.
  
-  One answer:
     
    -  Don’t use harmonics that will be distorted.
    
 
Bandwidth
  
  -  Bandwidth is the frequency range assigned to a signal.
    
  
-  A medium’s bandwidth is the frequency range over which attenuation is
    not too bad.
  | 
 
   |  “Not too bad”: ≤ 50% attenuation.
     There other definitions.
   |  
 
Data Rates
  
  -  A signal s has maximum frequency f Hz.
  
-  Nyquist’s sampling theorem:
s can be exactly reconstructed from more than 2f samples per second.
 
-  If s uses V discrete levels, then
    
    -  sample rate = 2f log2 V bits/sec.
    
 
-  For example: a 3kHz channel sending binary 
    
    -   2·3,000 log2 2 = 6,000 bits/sec.
    
 
Signals and Noise
  
  -  Nyquist assumes a perfect errorless channel.
  
-  Real channels have errors.
    
    -  Modeled as random (thermal) noise (white noise). 
    
 
-  A channel has signal S and noise N.
  
-  The signal-to-noise ratio (SNR, S/N) is
    
  
Maximum Data Rates
  
  -  A noisy channel has bandwidth B and SNR E.
  
-  The (channel capacity) C is
    
    -  C = B log2 (1 + E) bit/sec.
    
 
-  This is Shannon’s theorem.
  
-  Data can be transmitted with arbitrarily low error probabilities at
  rates R ≤ C.
    
    -  If R > C, errors can't be controlled. 
    
 
Shannon Example
  
  -  For example, a noisy channel has 1 MHz bandwidth and 40 dB SNR.
    
    -  C = 1 MHz log2 (1 + 40) = 5.3 Mb/sec. 
    
 
-  For rates at most 5.3 MB/sec, the error probability can be made
  arbitrarily small.
    
    -  For rates over 5.3 MB/sec, there is no such guarantee.
    
 
-  Shannon's theorem is not a practical guideline.
  
Summary
  
  -  A signal is a collection of harmonic signals (frequencies).
  
-  Signal attenuation places constraints on signals.
    
    -  In particular, finite bandwidth. 
    
 
-  Bandwidth and signals (levels or noise) lead to maximum data rates.
    
    -  Either by Nyquist (levels) or Shannon (noise). 
    
 
References
  
Credits
  
  
  | This page last modified on 2014 November 10. | 
      |