Syllabus for CS 176, Introduction to Computer Science II
Summer 2001
The course is divided into six sections:
- Review and Extensions
- Classes
- Array Processing
- Large Program Development
- File Access
- Pointers
Note: the phrase "X through Y" means "from the start of
X upto and including the end of Y".
- Section 1 - Review and Extensions (22 May to 24 May).
- Readings
-
Chapters 1 through 3; Sections 19.1 through 19.3 and 19.10
- Class Notes
-
Review and extensions
The string data type
- Lab Assignment 1
- 22 May
-
The program
An answer
- Programming Assignment
-
Assignment 1 available on 22 May, due on 5 June.
- Quiz 1
- 22 May
-
The answers
The grades
- Section 2 - Classes (29 May to 12 June).
- Readings
-
Chapter 6, Section 3.10
- Class Notes
-
Structs
Structs and functions
Classes
Function overloading
Operator overloading
- Lab Assignment 2
- 29 May
-
The program
An answer
- Lab Assignment 3
- 5 June
-
The program
An answer
- Design Test for Classes
- 12 June
-
The test
An answer
The grades
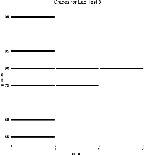
- Lab Test for Classes
- 19 June
-
The test
The grades
An answer
Comments
The make-up test
An answer
The grades
- Programming Assignment
-
Assignment 1 due due on 5 June.
An answer
The grades
Code review
Assignment 2 available on 5 June, due on 19 June.
- Section 3 - Array Processing (14 June to 28 June).
- Readings
-
Chapter 4
- Class Notes
-
Arrays
Array parameters
Array searching algorithms
Multi-dimensional arrays
Array sorting algorithms
- Design Test for Array Processing
- 3 July
-
The test
An answer
The grades
Comments
- Lab Test for Array Processing
- 10 July
-
The test
An answer
The grades
- Programming Assignment
-
Assignment 2 due due on 19 June.
An answer
The grades
Code review
Assignment 3 available on 19 June, due on 3 July.
- Quiz 2
- 29 June
-
The answers
The grades
- Section 4 - Large Program Development (3 July to 10 July).
- Readings
-
Sections 2.14, 3.11, and 6.6 through 6.9
- Class Notes
-
Files and compilation
Scope
Scope nesting and resolution
- Programming Assignment
-
Assignment 3 due due on 3 July.
An answer
The grades
Code review
Assignment 4 available on 3 July, due on 17 July.
- Section 5 - File Access (12 July to 19 July).
- Readings
-
Chapter 14
- Lab Assignment 4
- 17 July
-
The program
An answer
- Drop Day
- 18 July
-
- Class Notes
-
Files in C++
File streams
More on file streams
Formatted I-O
Advanced formatted I-O
- Design Test for File Access
- 24 July
-
The test
An answer
The grades
Comments
- Quiz 3
- 26 July
-
An answer
The grades
- Lab Test for File Access
- 31 July
-
The test
An answer
The grades
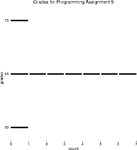
- Programming Assignment
-
Assignment 4 due due on 17 July.
An answer
The grades
Assignment 5 available on 17 July, due on 31 July.
- Section 6 - Pointers (24 July to 9 August).
- Readings
-
Sections 5.1 thorugh 5.10
- Class Notes
-
Introduction to pointers
Pointer declarations
Pointers and functions
Pointers and arrays
Dynamic memory
- Quiz 4
- 2 August
-
An answer
The grades
- Quiz 5
- 7 August
-
An answer
The grades
- Design Test for Pointers
- 9 August
-
The test
An answer
The grades
- Programming Assignment
-
Assignment 5 due due on 31 July.
An answer
The grades
Assignment 6 available on 31 July, due on 14 August.
- Last Day of Class
- 14 August
-
Assignment 6 due.
An answer
The grades
- Final Exam
- 14 August
-
The answers to part 1
The answers to part 2
The grades
This page last modified on 27 August 2001.