Syllabus for CS 438, Operating Systems Analysis

Fall 2001


The course is divided into four three-week sections; each section covers a major part of an operating system:

  1. Introduction

  2. Processes

  3. Input-Output

  4. Memory Management

  5. File Systems

I will try hard not to change the syllabus during the semester, but I make no promises.

Note: The phrase "x through y" means "from the start of x up to and including the end of y."

Section 1 - Introduction (Wednesday, 5 September, through Monday, 17 September)

Readings
Chapters 1 through 4.

Class notes
Introduction
OS abstraction
System architecture
Operating system organization

Section 2 - Processes (Wednesday, 19 September, through Wednesday, 10 October)

Readings
Chapters 6 through 8.

Class notes
Process Management
Scheduling
Process Synchronization
Peterson's algorithm for mutual exclusion

Project notes
Hardware architecture (last modified on 24 November 2001).
The architecture simulator (last modified on 24 November 2001).

Assignment
Process management assignment (last modified on 1 October 2001) available on Wednesday, 19 September.

Test - Wednesday, 10 October
4:30 start due to the Founder's Day Convocation.
The answers
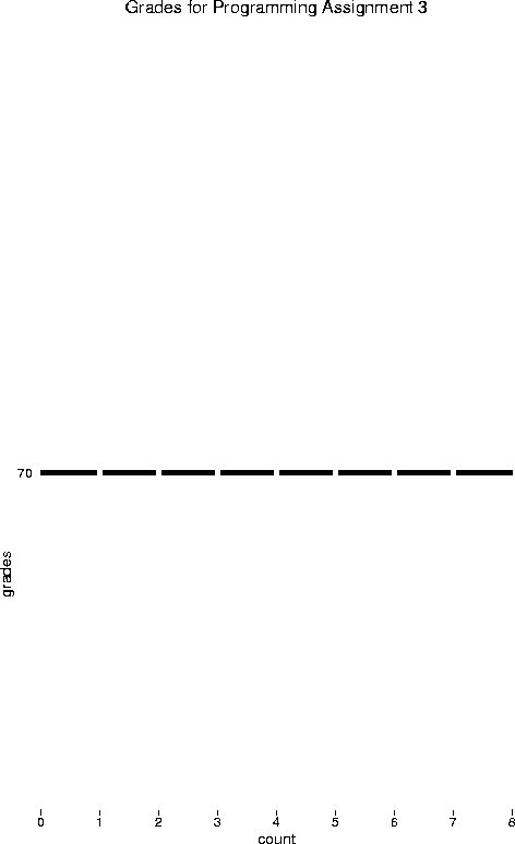
The grades

Section 3 - Input-Output (Monday, 15 October, through Wednesday, 31 October)

Readings
Chapters 5, 9, and 10.

Class notes
Device management
Resource management and deadlock
Synchronization revisited

Assignment
Process management assignment due Wednesday, 10 October at 2:00 p.m.
An example solution
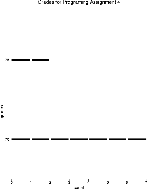
The grades

Device management assignment (last modified on 24 October 2001) available on Wednesday, 10 October.

Test - Wednesday, 31 October
The answers
The grades

Section 4 - Memory Management (Wednesday, 31 October, through Wednesday, 21 November)

Readings
Chapters 11 and 12.

Class notes
Memory management
Virtual memory

Assignment
Device management assignment due Monday, 5 November at 2:00 p.m.
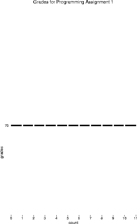
The grades
An example solution

Memory management assignment (last modified on 9 November 2001) available on Wednesday, 31 October.

Test - Monday, 26 November
The answers
The grades

No class - Thanksgiving break, Wednesday, 21 November

Section 5 - File Systems and Protection (Wednesday, 21 November, through Wednesday, 12 December)

Readings
Chapters 13 and 14.

Class notes
File basics
Implementing files
Directories
File systems
Security and protection

Assignment
Memory management assignment due Wednesday, 21 November at 2:00 p.m.
The grades
An example solution

File management assignment (last modified on 24 November 2001) available on Wednesday, 21 November.
File management assignment due Wednesday, 12 December at 2:00 p.m.
The grades

Test - Wednesday, 12 December
The answers
The grades

Open Lecture on distributed operating systems in Bey Hall 227 from 5:30 p.m. to 7:30 on Monday, 17 December.


This page last modified on 17 January 2002.