Computer Networking • CS 414 & 514

Spring 2014 Schedule


The first section is one day long, the fifth section is three weeks long, the eight section is a week and a half long, and the rest of the sections are two weeks long:

  1. Introduction

  2. The Application Layer

  3. The Transport Layer

  4. The Network Layer

  5. The Data-Link Layer

  6. The Physical Layer

  7. Peer-to-Peer Networks

  8. Sensor Networks

Linked material from the ACM or the IEEE can be downloaded for free from the Guggenheim Library within the monmouth.edu domain.

Unless otherwise indicated, the phrase “X through Y” means “from the beginning of X to the end of Y.”

Chapter and section titles are from the fifth edition of Kurose and Ross, the fifth edition of Peterson and Davie, and the fifth edition of Tanenbaum and Wetherall.
Section 1: Introduction, Wednesday, 22 January.

Class Readings
Kurose and Ross: Chapter 1 (Computer Networks and the Internet).
Other Readings
Peterson and Davie: Chapter 1 (Foundation).
Tanenbaum and Wetherall: Chapter 1 (Introduction), sections 1.1 (Uses of Computer Networks) through 1.5 (Example Networks), optional: sections 1.6 (Network Standardization) through 1.8 (Outline of the Rest of the Book).
Section 2: The Application Layer, Thursday, 23 January through Wednesday, 5 February.

Class Readings
Kurose and Ross: Chapter 2 (Application Layer), optional: sections 2.6 (Socket Programming with TCP) through 2.9 (Building a Simple Web Server).
Other Readings
Peterson and Davie: Chapter 9 (Applications), optional: sections 9.2 (Multimedia Applications) and 9.4 (Overlay Networks).
Tanenbaum and Wetherall: Chapter 7 (The Application Layer), sections 7.3.1 (Architectural Overview) through 7.3.3 (Dynamic Web Pages and Web Applications), optional: sections 7.4.1 (Digital Audio) and 7.4.2 (Digital Video).
Test 1 — Wednesday, 5 February
The 515 test.
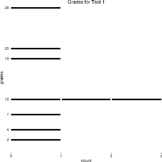
The 515 grades.
The 415 test.
The 415 grades.
Section 3: The Transport Layer, Thursday, 6 February through Wednesday, 19 February.

Class Readings
Kurose and Ross: Chapter 3 (Transport Layer).
Other Readings
Peterson and Davie: Chapter 5 (End-to-End Protocols), sections 5.1 (Simple Demultiplexer (UDP)) and 5.2 (Reliable Byte Stream (TCP)), optional: sections 5.3 (Remote Procedure Call) and 5.4 (Transport for Real-Time Applications (RTP)); chapter 6 (Congestion Control and Resource Allocation), sections 6.1 (Issues in Resoure Allocation) through 6.4 (Congestion-Avoidance Mechanisms).
Tanenbaum and Wetherall: Chapter 6 (The Transport Layer), sections 6.1 (The Transport Service) through 6.5 (The Internet Transport Protocols: TCP), optional: sections 6.6 (Performance Issues) and 6.7 (Delay-Tolerant Networking).
Test 2 — Wednesday, 19 February
The 515 test.
The 515 grades.
The 415 test.
The 415 grades.
Section 4: The Network Layer, Thursday, 20 February through Wednesday, 5 March.

Class Readings
Kurose and Ross: Chapter 4 (Network Layer and Routing), optional: sections 4.6 (What’s Inside a Router?) and 4.8 (Multicast Routing).
Other Readings
Peterson and Davie: Chapter 3 (Internetworking), sections 3.1 (Switching and Bridging) through 3.3 (Routing).
Tanenbaum and Wetherall: Chapter 5 (The Network Layer).
Test 3 — Wednesday, 5 March
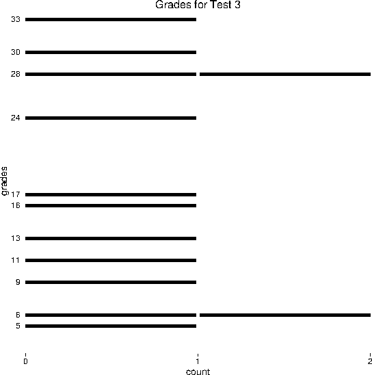
The 415 test.
The 415 grades.
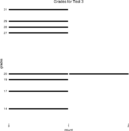
The 515 test.
The 515 grades.
Section 5: The Data-Link Layer, Thursday, 6 March through Wednesday, 26 March.

Midterms due — Thursday, 11 March (undergraduates only)
No class — Spring break, Monday and Wednesday, 17 and 19 March
Class Readings
Kurose and Ross: Chapter 5, optional: sections 5.8 through 5.10.
Other Readings
Peterson and Davie: Chapter 2 (Getting Connected), sections 2.1 (Perspectives on Connecting), 2.3 (Framing) through 2.5 (Reliable Transmission).
Tanenbaum and Wetherall: Chapters 3 (The Data Link Layer) and 4 (The Medium Access Control Sublayer), optional: sections 3.5 (Example Data Link Protocols), 4.5 (Broadband Wireless) through 4.7 (RFID).
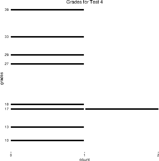
Test 4 — Wednesday, 26 March
The 515 test.
The 515 grades.
The 415 test.
The 415 grades.
Section 6: The Physical Layer, Thursday, 27 March through Wednesday, 9 April.

Drop Day — Monday, 31 March
Other Readings
Peterson and Davie: Chapter 2 (Getting Connected), sections 2.2 (Encoding (NRZ, NRZI, Manchester, 4B/5B)), 2.6 (Ethernet and Multiple Access Networks (802.3), and 2.7 (Wireless).
Tanenbaum and Wetherall: Chapter 2 (The Physical Layer), sections 2.1 (The Theoretical Basis for Data Communication) through 2.3 (Wireless Transmission) and section 2.5 (Digital Modulation and Multiplexing). Optional: sections 2.4 (Communication Satellites) and 2.6 (The Public Switched Telephone Netowork) through 2.8 (Cable Television).
Test 5 — Wednesday, 9 April
Section 7: Peer-to-Peer Networks, Thursday, 10 April through Wednesday, 23 April.

Class Readings
A Survey of Peer-to-Peer Content Distribution Technologies by Stephanos Androutsellis-Theotokis and Diomidis Spinellis in ACM Computing Surveys, December, 2004.
A Survey on the Design, Applications, and Enhancements of Application-Layer Overlay Networks by Jinu Kurian and Kamil Sarac in ACM Computing Surveys, November, 2010.
Other Readings
Peterson and Davie: Section 9.4 (Overlay Networks).
Tanenbaum and Wetherall: Sections 7.5.3 (Content Delivery Networks) and 7.5.4 (Peer-to-Peer Networks).
Vu, Lupu and Ooi: Chapters 1 (Introduction), 2 (Architecture of Peer-to-Peer Systems), 3 (Routing in Peer-to-Peer Networks), 8 (P2P Programming Tools), 9 (Systems and Applications).
Test 6 — Wednesday, 30 April
Section 8: Sensor Networks, Thursday, 24 April through Monday, 5 May.

Class Readings
Topology Control in Wireless Ad Hoc and Sensor Networks by Paolo Santi in ACM Computing Surveys, June, 2005.
A Survey of Adaptive Services to Cope with Dynamics in Wireless Self-Organizing Networks by Cigdem Sengul and Aline Carneiro Viana and Artur Ziviani in ACM Computing Surveys, August, 2012.

Open Lecture on a topic to be determined at a time to be determined on a date to be determined in a location to be determined.

This page last modified on 2014 January 22.

Creative
    Commons License