

abstract keyword identifies features intended for protocol
  definition.
    
interface Candy {
  public abstract int calorieCount();
  Nuts [] containsNuts();
  boolean hasFlavonoids();
  }  
interface 3DRectangle {
  double height();
  double width();
  double length();
  }
interface ChocolateBar 
extends Candy { 
  ChocolateKind chocolateKind();
  // and so on.
  }
public interface ChocolateBar 
extends Candy, 3DRectangle { ... }
class ThreeMusketeers
implements ChocolateBar
  int calorieCount() { ... }
  boolean hasFlavonoids { return true; }
  // and so on
interface Universals {
  public static final int 
    tearsCried = 96,
    theAnswer = 42;
    }
abstract class Universals {
  public static final int 
    tearsCried = 96,
    theAnswer = 42;
    }
interfaceComparableint compareTo(Object o); public interfaceDestroyablevoid destroy(); boolean isDestroyed(); public interfaceReadableint read(CharBuffercb);
class Card implementsComparableint compareTo(Object o) { ... } // and so on. class SecurityCertificate implementsDestroyable,Readablevoid destroy() { ... } boolean isDestroyed() { ... } int read(CharBuffer cb) { ... } // and so on.
boolean beats(Comparablex) { ... } void validate(Destroyabletag) { ... } Message read(Readableinput) { ... }
SecurityCertificate ticket = new SecurityCertificate() validate(ticket) Message m = read(ticket)
class banana implements peel, soft {...}
class apple implements seeds, crisp {...}
interface soup extends stock, aromatics {...} 
interface salad extends greens, dressing {...}
interface MouseListener
  void mouseMotion()
  void mouseButton()
  // lots more
abstract class AbstractMouseListener
implements MouseListener
  public void mouseMotion() { ... }
  public void mouseButton() { ... }
  // lots more
class TouchPadListener
extends AbstractMouseListener
  public void mouseMotion() { ... }

- Problem solved?
class T
  // Or maybe T(T t)
  T copy()
    cpy = new T()
    for each v: this.instance-variable
      cpy.v = v
    return cpy

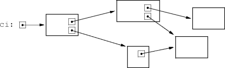
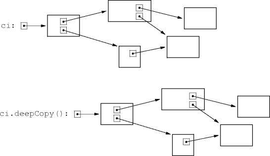
copy() implements a shallow copy.
    

T deepCopy()
  cpy = new T()
  for each v: this.instance-variable
    cpy.v = v.deepCopy()
  return cpy
Blob cpy = ci.deepCopy()
    
Object.clone()protectedObjectclone()
implements copying.
$ cat t.java
class blob { }
class t {
  public static void main(String args[]) {
    blob b = new blob();
    blob cpy = (blob) b.clone();
    }
  }
$ javac -Xlint t.java
t.java:7: clone() has protected access 
          in java.lang.Object
    blob cpy = (blob) b.clone();
                       ^
1 error
$ 
Object.clone() implements a shallow copy.
  Cloneable interface,
    clone() as a public method, and 
    
$ cat t.java class blob implementsCloneablepublic blob clone() throws CloneNotSupportedException return (blob) super.clone(); class t public static void main(Stringargs[]) blob b = new blob(); try blob cpy = b.clone(); catch (Exceptione) { } $ javac -Xlint t.java $
Object.clone() as in a shallow copy, and 
    clone() implements the deep copy.
    
clone() too. 
    
class blob implementsCloneablepublic blob clone() throws CloneNotSupportedException blob b = (blob) super.clone(); // recursively clone instance references. return b; class t public static void main(Stringargs[]) blob b = new blob(); try blob cpy = b.clone(); catch (Exceptione) { }
Object.clone() has the contract
   
    x.clone() != x
    x.clone().getClass() == x.getClass()
    x.clone().equals(x) is true.
    
Object.clone()
  appropriately.
    
clone judiciously), 16 (Prefer interfaces to
        abstract classes), and 17 (Use interfaces only to define types) from
        Effective Java by Joshua Bloch, Addison-Wesley, 2001.