handle<widget> wh1(blue) handle<widget> wh2(wh1) wh2->color = red // Now wh1->color is red too.
unshare()
member function copies storage.
template < typename T > void handle::unshare() if (*ref_cnt > 1) (*ref_cnt)-- ref_cnt = new size_t(1) t_ptr = t_ptr->clone()
clone()
operation.
or be unwound.
unshare()
and Exception Safetyunshare()
exception safe?
if (*ref_cnt > 1) 1 (*ref_cnt)-- 2 ref_cnt = new size_t(1) 3 t_ptr = t_ptr->clone()
(*ref_cnt)--
.
ref_cnt = new size_t(1)
.
t_ptr->clone()
throws an exception.
unshare()
Exception Safeif (*ref_cnt > 1) t_ptr = t_ptr->clone() (*ref_cnt)-- ref_cnt = new size_t(1)
unshare()
exception safe?
new size_t(1)
throws an exception.
if (*ref_cnt > 1) T * tp = t_ptr->clone() size_t * rcp = new size_t(1) (*ref_cnt)-- ref_cnt = rcp t_ptr = tp
unshare()
Really Exception Safeunshare()
exception safe yet?
if (*ref_cnt > 1) T * tp = t_ptr->clone() size_t * rcp = new size_t(1) (*ref_cnt)-- ref_cnt = rcp t_ptr = tp
new size_t(1)
throws an exception?
if (*ref_cnt > 1) T * const tp = t_ptr->clone() size_t * rcp try { rcp = new size_t(1) } catch (...) { delete tp ; throw } (*ref_cnt)-- ref_cnt = rcp t_ptr = tp
unshare()
fixed, are handles exception safe?
template < typename T > handle::handle(T * tp) : ref_cnt(new size_t(1)), t_ptr(tp) { }
handle<widget> wh(new widget)
new size_t(1)
throws, new widget
is lost.
widget * wp = new widget handle<widget> wh try { wh = handle<widget>(wp) } catch (...) { delete wp ; throw }
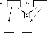
template < typename T > class handle public: handle() : tptr(0), next(this), last(this) { } handle(T * tp) : tptr(tp), next(this), last(this) { } private: T * tptr mutable handle * next, * last
handle(const handle & h) { relink(h) } handle & operator = (const handle & rhs) if (this != &rhs) unlink() relink(rhs) return *this ~handle() unlink()
void unlink() if next == last delete tptr else next->last = last last->next = next void relink(handle & h) next = &h last = h.last h.last = last->next = this tptr = h.tptr
const
not const
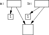
?handle & operator = (const handle & rhs)
rhs
is logically but not actually const.
handle & operator = (const handle & rhs) if this != &rhs // whatever const_cast<handle &>(rhs).last = this
mutable
vs. const
mutable
modifier was defined to avoid these problems.
mutable handle * last, * next handle & operator = (const handle & rhs) if this != &rhs // whatever rhs.last = this
These notes were derived from this article.
Smart Pointers Reloaded (IV): Finale by Andrei Alexandrescu and David Held, C/C++ Users Journal, April, 2004.
Combines reference counting and circular pointers to minimize heap-access overhead.
This page last modified on 6 May 2004.