CS 509, Advanced Programming II

Spring 2003 - Test 1


  1. A colleague of yours has used the following structure to solve the first programming assignment:

    // Read in the strokes.
    // Classify the strokes into nodes and edges.
    // ?
    // Group the nodes and edges into a tree.
    // Make the tree tidy.
    // Output the tree.
    

    Your colleague would like to replace the question mark ? with an assertion that will fail if the collection of nodes and edges cannot be combined into into a tree.

    Note that the assertion should determine if the nodes and edges cannot be formed into a tree. The assertion should not determine if the nodes and edges can be formed into a tree (which is probably not possible to do in an assertion).

    What assertion do you recommend that your colleague use? Your answer should be in the form of a valid assert() statement, with an explanation of why the assertion works.


    One useful assertion is

    assert((node_count + edge_count == 0) or (edge_count + 1 == node_count))
    

    This assertion exploits the property that a valid tree has one more node than it has edges. It also takes care of the case when input is empty (assuming node_count and edge_count are unsigned integers) .

    Most people either got this or they got it completely wrong, although one person offered up the assertion

    assert((nodes && edges) == tree);
    

    which would be lovely if you could do it.


  2. A colleague of your believes that Koenig and Moo are being wasteful when they say the code

    {
      init-statement
      while (condition) {
        statement;
        expression
        }
    }
    

    is equivalent to the for statement

    for(init-statement; condition; expression)
      statement
    

    Your colleague believes that the outer-most pair of brackets is unnecessary and the code

    init-statement
    while (condition) {
      statement;
      expression
      }
    

    works just as well as the code given by Koenig and Moo.

    Do you agree or disagree with your colleague? If you agree, explain why the outer-most pair of braces is not needed. If you disagree, give an example of where your colleague's replacement code is not equivalent to a for statement.


    You should disagree with your colleague. The outer pair of brackets creates a new scope for any index variables declared, which avoids potential name clashes. For example, your colleague would translate the following valid C++ code

    int i;
    for (int i = 0; i < 10; i++)
      // whatever
    

    into the clearly invalid

    int i;
    int i = 0;
    while (i < 10) {
      // whatever
      i++
      }
    

    while Koenig and Moo would translate it into the valid

    int i;
    {int i = 0;
     while (i < 10) {
       // whatever
       i++
       }
    }
    

    Most people got this one, although the degree to which people showed an understanding of the scope issues varied widely.


  3. A housing developer needs to build a lot of fences, and wants a function that accepts as input the total (integer) length of the fence in meters and returns the minimum number of fence posts needed for the fence assuming that two adjacent fence posts can be no more than three meters apart.

    Write the developer's function.


    You need one fence post to start. To use the minimum number of fence posts, put a fence post at the end of every 3 meter segment, the maximum distance allowed between fence posts. There are n/3 such segments, where n is the length of the fence in meters. Finally, you may need need one more fence post to take care of any leftover if the fence length is not an integral multiple of 3.

    The previous analysis leads straightaway to the code

    unsigned fence_posts(int fence_length) {
    
      const unsigned meters_between_posts = 3;
    
      if (fence_length < 1)
        return 0;
      else
        return 1 + fence_length/meters_between_posts + 
               (fence_length % meters_between_posts > 0 ? 1 : 0);
      }
    

    This code can be simplified slightly by using the ceiling function:

    unsigned fence_posts(int fence_length) {
    
      const double meters_between_posts = 3.0;
    
      if (fence_length < 1)
        return 0;
    
      return 1 + static_cast<unsigned>(
                   std::ceil(
    	         static_cast<double>(fence_length)/meters_between_posts));
      }
    

    A lot of people missed this question, which is terrible. The errors were evenly divided among people who forgot the 1 for the initial post and forgot the 1 for whatever was left over after all the 3-meter segments (and the few people who forgot both).

    As a historical note, this is why off-by-one errors are sometimes called fence-post errors: How many fence posts will I need for a 100 foot fence with a fence post every 10 feet?


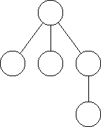
  4. If a set of nodes all have minimal y values, the treetidy program may pick any one of them to be the root. Describe a set of input strokes that will help you determine if a treetidy program picks the left or right node when there are two candidates for the root. You can just draw the input strokes as in tstroke, no need to numerically describe the strokes.


    A sketch like

    will do the trick. If the program makes the left node the root, the resulting tidy tree looks like

    while if it picks the right node to be the root, the resulting tidy tree looks like

    A lot of people answered this question by sketching input that wasn't a valid tree. In addition to making it unclear how such input could answer the question in theory, the program should reject such input as invalid, which makes it impossible to answer the question in practice.



This page last modified on 6 February 2003.