m4_divert(2) m4_define(_commentnesting, 0) m4_define(_begincomment,m4_dnl m4_ifelse(_commentnesting, 0, )) m4_define(_warning,m4_dnl _begincomment()This document was created by gen-_name.html Do not edit this document, edit gen-_name.html._endcomment()) m4_define(_hdrs, ) m4_define(_anchor_no, 0) m4_define(_abs, m4_ifelse(m4_eval($1 < 0), 1, m4_eval(-($1)), $1)) m4_define(hdr, _warning() $2 _warning() m4_ifelse(m4_eval($1 >= 0), 1, m4_define(`_hdrs', _hdrs`'_anchor_no $1 m4_translit(`$2', `,', ) )) m4_define(_anchor_no, m4_eval(_anchor_no + 1)) ) m4_define(usetag, _warning()$2_warning()) m4_define(puttag, _warning()$2_warning()) m4_changecom() m4_define(sps, $1$2) m4_define(sbs, $1$2) m4_define(,_warning()$1_warning()) m4_define(,_warning()$1_warning()) m4_define(itl,_warning()$1_warning()) m4_define(bld,_warning()$1_warning()) m4_define(hrf,_warning()$2_warning()) m4_define(mailat,_warning()hrf(mailto:$1,$1)_warning()) m4_define(nwsgrp, hrf(news:$1, $1)) m4_define(bookref, $1, $2. $3: $4, $5.) m4_define(i2m,m4_ifelse( $1,01,January, $1,02,February, $1,03,March, $1,04,April, $1,05,May, $1,06,June, $1,07,July, $1,08,August, $1,09,September, $1,10,October, $1,11,November,December)) m4_dnl $Revision: 1.5 $, $Date: 1999/12/09 19:16:32 $ CS 512 Test 1 hdr(2, Test 1 - Graph and Geometric Algorithms) hdr(3, CS 512, Algorithm Design)


  1. True or false: every depth-first tree of an undirected graph itl(G) is a spanning tree over itl(G). Justify your answer.


    False. A spanning tree over itl(G) must reach all nodes of itl(G). If itl(G) is unconnected, no edge can span itl(G)'s separate subgraphs, and no spanning tree over itl(G) can exist.


  2. Let itl(G) be an undirected graph, itl(v) be a node of itl(G), itl(D)t be a tree generated by a depth-first traversal of itl(G) starting at itl(v), and itl(B)t be a tree generated by a breadth-first traversal of itl(G) starting at itl(v). True or false: itl(D)t and itl(B)t will always be identical subgraphs of itl(G). Justify your answer.


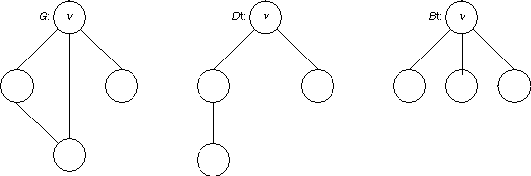
    False. Consider the graph itl(G) shown on the left.

    Differnt depth- and breadth-first trees
    The middle graph itl(D)t is a spanning tree over itl(G) generated by a depth-first traversal; the right graph is a spanning tree over itl(G) generated by a itl(B)t breadth-first traversal.


  3. A rectangular polygon is a polygon with only horizontal and vertical sides. Suppose you have to devise an algorithm that accepts a set itl(S) of points and constructs, if possible, a rectangular polygon from the points in itl(S). Should you base your algorithm on a circular scan through the points in itl(S), similar to the circular scan used for the simple polygon algorithm? Explain.


    A circular scan through the points of itl(S) is probably not the best approach to take. The sides of a rectangular polygon are most conveniently described in terms of pairs of vertices having identical x or y values. A circular scan describes vertices in terms of an angle and a distance, and it is not particularly easy to discover a horizontal or vertical relation between vertices using angles and distances. Of course, it is always possible to convert from angles and distances to x-y coordinates (that is, from polar to rectangular coordinates), but if you're going to do that conversion, you may as well start with a linear scan parallel to one of the axes and get the x-y coordinates directly.


  4. You are surfing the web and come across a page describing an algorithm that accepts a set of points itl(S) and indicates whether or not the points in itl(S) all lie on the same line. Further, the algorithm is guaranteed to have worst case run-time behavior strictly better than O(|itl(S)|). Does this make sense to you? Explain.


    No. Because itl(S) is an arbitrary set of points, any algorithm that determines if the points in itl(S) are collinear must examine every point in itl(S) and so must have at least itl(O)(|itl(S)|) worst case behavior.



This page last modified on 16 i2m(02) 2000. m4_dnl $Revision: 1.2 $, $Date: 1999/03/12 17:36:48 $ m4_divert(1) m4_changequote({, }) {m4_define(tblfcntnts, _toc_tableit(}_hdrs{) _toc_down(_toc_ilevel, _toc_level) ) m4_define(_toc_tableit, m4_regexp($1, \([0-9]+\) \([0-9]+\) \([^ ]+\) \(.*\), m4_ifdef(_toc_level, , m4_define(_toc_level, m4_eval(\2 - 1)) m4_define(_toc_ilevel, _toc_level)) _toc_entry(\1, \2, \3) _toc_tableit(\4)) ) m4_define(_toc_down, m4_ifelse(m4_eval($1 < $2), 1, _toc_down($1, m4_eval($2 - 1))) ) m4_define(_toc_entry, m4_ifelse(m4_eval($2 > _toc_level),1,