f(X1, X2, \(\ldots\), Xj)
Pr(X1 | X2, \(\ldots\), Xj)
f(X, Y, Z) X Y Z val t t t 0.1 t t f 0.9 t f t 0.2 t f f 0.8 f t t 0.4 f t f 0.6 f f t 0.3 f f f 0.7 
f(X = t, Y, Z) Y Z val t t 0.1 t f 0.9 f t 0.2 f f 0.8 
f(X = t, Y, Z = f) Y val t 0.9 f 0.8 f(X = t, Y = f, Z = f) = 0.8 
(f1 \(\times\) f2)(X, Y, Z) = f1(X, Y)f2(Y, Z)
f1(X1, Y1, Y2)
f2(Z1, Z2, Y1, Y2)
(f2 \(\times\) f2)(X1, Y1, Y2, Z1, Z2, )
| 
 | 
 | 
 | ||||||||||||||||||||||||||||||||||||||||||||||||||||||||||||||||||||||||||||||||||||||||||||||||||||||||||||||||||||||||
| 
 | ||||||||||||||||||||||||||||||||||||||||||||||||||||||||||||||||||||||||||||||||||||||||||||||||||||||||||||||||||||||||||

f3 A B C f3() t t t 0.03 t t f 0.07 t f t 0.54 t f f 0.36 f t t 0.06 f t f 0.14 f f t 0.48 f f f 0.32 
\(\sum _ B\)f3 A C val t t 0.57 t f 0.43 f t 0.54 f f 0.46 




| 
 
 | 
 
 | 
cpd(x) = Pr(X \(\leq\) x).

Y1 = v1 \(\wedge \cdots \wedge\) Yj = vj

| 
 
 | 
 | 

| 
 
 | 
 | 
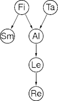
| Pr(sm | fi) = 0.9 Pr(sm | \(\neg\)fi) = 0.01 | Pr(re | le) = 0.75 Pr(re | \(\neg\)le) = 0.01 | 
Pr(e1 \(\wedge\) e2 | sample) = Pr(e1 | sample)Pr(e2 | e1 \(\wedge\) sample) 
| This page last modified on 2011 October 26. |