| 
 
 |  | 
| 
 
 | 
 | 
| 
 
 |  | 
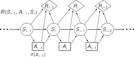
∀ s ∈ S, ∀ a ∈ A \(\sum\)s\('\) ∈ S Pr(s\('\) | s, a) = 1

| 
 
 | 
 
 | 
V = r0 + γr1 + γ2r2 + \(\cdots\) = \(\sum\)∞ γiri
Qπ(s, a) = \(\sum\)s' Pr(s' | s, a)(R(s, a, s') + γVπ(s')) Vπ(s) = Qπ(s, π(s)) 

Q*(s, a) = \(\sum\)s' Pr(s' | s, a)(R(s, a, s') + γV*(s'))
V*(s) = maxa Q*(s, a)
π*(s) = a | ∀ a\('\) ∈ A : Q*(s, a) ≥ Q*(s, a\('\))
| value iteration(S, A, Pr, R, θ) | |||
| V0[*] ← 0 | |||
| k ← 0 | |||
| repeat | |||
| k++ | |||
| for each s ∈ S do | |||
| Vk[s] ← maxa \(\sum\)n Pr(n | s, a)(R(s, a, n) + γVk - 1[n]) | |||
| until ∀s |Vk[s] - Vk - 1[s]| < θ | |||
| for each s ∈ S do | |||
| π[s] ← a maximizing \(\sum\)n Pr(n | s, a)(R(s, a, n) + γVk[n]) | |||
| return π, Vk | |||
0 = c10 + c11Vπ(s1) + \(\cdots\) + c1nVπ(sn) \(\vdots\) 0 = cn0 + cn1Vπ(s1) + \(\cdots\) + cnnVπ(sn) 
| policy iteration(S, A, Pr, R) | |||||
| π[*] ← whatever | |||||
| repeat | |||||
| unchanged ← true | |||||
| V ← the solution to the linear equations given by π | |||||
| for each s ∈ S do | |||||
| Qbest ← V[s] | |||||
| for each a ∈ A do | |||||
| Qsa ← \(\sum\)n Pr(n | s, a)(R(s, a, n) + γV[n]) | |||||
| if Qsa > Qbest | |||||
| π[s] ← a | |||||
| Qbest ← Qsa | |||||
| unchanged ← false | |||||
| until unchanged | |||||
| return π | |||||