Intelligent Systems Lecture Notes

28 October 2011 • Markov Models


Outline

An Agent’s World

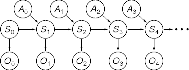
An Agent's Problem

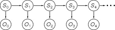
Markov Chain

Stationary Markov Chain

Hidden Markov Model

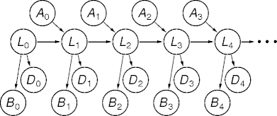
Localization Example

Sensor Model Example

Example Dynamic Model

Combining Sensor Information

Summary

References


This page last modified on 2011 October 26.

Creative
    Commons License