Pr(lyme disease) = 0.01% Pr(chlamydia) = 0.4% Pr(heart disease) = 55% The patient has heart disease.
Pr(a | b) = Pr(a \(\wedge\) b)/Pr(b)
Pr(a | b)Pr(b) = Pr(a \(\wedge\) b)
Pr(a \(\wedge\) b \(\wedge\) c) = Pr(a \(\wedge\) (b \(\wedge\) c)) 
= Pr(a | b \(\wedge\) c)Pr(b \(\wedge\) c) 
= Pr(a | b \(\wedge\) c)Pr(b | c)Pr(c) 
Pr(p1 \(\wedge\) p2 \(\wedge\) p3 \(\wedge\) p4) = Pr(p1 | p2 \(\wedge\) p3 \(\wedge\) p4) \(\cdot\) Pr(p2 | p3 \(\wedge\) p4) \(\cdot\) Pr(p3 | p4) \(\cdot\) Pr(p4) 
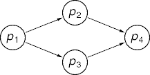
(p1, p2, p3, p4)
Pr(p1 \(\wedge\) p2 \(\wedge\) p3 \(\wedge\) p4) = Pr(p1 | p2 \(\wedge\) p3 \(\wedge\) p4) \(\cdot\) Pr(p2 | p3 \(\wedge\) p4) \(\cdot\) Pr(p3 | p4) \(\cdot\) Pr(p4) 

Pr(H | E1 \(\wedge\) E2) = Pr(H | E2)
p1 = burning p3 = excessive heat p2 = excessive smoke p4 = evacuation 


Pr(p1 \(\wedge\) p2 \(\wedge\) p3 \(\wedge\) p4) = Pr(p1) \(\cdot\) Pr(p2 | p1) \(\cdot\) Pr(p3 | p1) \(\cdot\) Pr(p4 | p2 \(\wedge\) p3) 
www.cdc.gov
  and seer.cancer.gov.
  | This page last modified on 2011 October 25. |