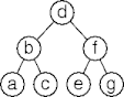
| How should a tree be packed into an array? |



|
|
|
create(), destroy(), … maintenance
operations.
add(data) and data remove() manipulation operations.
size(), empty(), data top(), … query
operations.
Heap.create(T a[], unsigned n)
Heap.create(Heap<T> h1, Heap<T> h2)
Heap.merge(Heap<T> h)

i = count++ d[i] = e while i ≠ 0 p = (i - 1)/2 if d[p] ≥ d[i], break swap(d[p], d[i]) i = p
|
|


public T take()
final T o = heap[0]
heap[0] = heap[--count]
pushDown(0)
return o
private void pushDown(int p)
final int children [] =
new int [] { 2*p + 1, 2*(p + 1) };
for (int c: children)
if (c < count) ∧ (heap[p] < heap[c])
swap(p, c)
pushDown(c)
| This page last modified on 16 November 2010. |