Data Structures & Algorithms Lecture Notes

8 December 2009 • Balancing Trees


Outline

  • Tree Shape

  • Rebalancing Trees

    • AVL Trees

    • Red-Black Trees

  • Caching

    • Splay Trees

a balanced tree

A Question

Data Insertion Order

Tree Levels

Tree Shape

Examples

Representing Balance

Getting Balanced Trees

Tree Balance

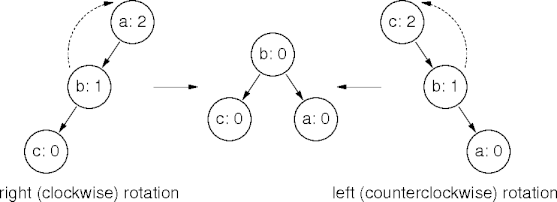
Node Rotations

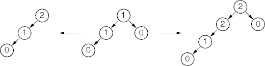
Example Node Rotations

Tree Rebalancing

Example Rebalancing

an example rebalancing

AVL Trees

AVL Rotations

AVL Balance

Almost-Balanced Trees

Red-Black Trees

The Red-Black Property

Example Red-Black Tree

Maintaining Almost Balance

Abandoning Balance

Unbalanced Trees

Caching

A List Cache

List Caching Example

Caching Tree Accesses

Splay Trees

Splaying

Splay Insertion

Splay Deletion

Splay-Deletion Example

Summary

References

Credits


This page last modified on 14 October 2008.

Creative
    Commons License