


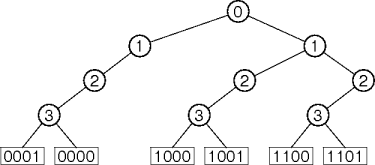
n.children[key[i]] is nil, fail.
n.children[key[i]].
(node, node, int)
find'(parent, root, key, dno)
if root = nil
return (parent, root, dno)
if root isa data-node
return (parent,
root.data = key ? root : nil,
dno)
return find'(root,
root.children[key[dno]],
key,
dno + 1)
find() is easy using find'():
bool find(root, key)
(_, root, _) =
find'(nil, root, key, 0)
return root = nil
insert(root, key)
(parent, root, dno) =
find'(nil, root, key, 0)
if root = nil
parent.children[key[dno]] =
new data-node(key)
delete(root, key)
(parent, root, dno) =
find'(nil, root, key, 0)
if root ≠ nil
while root.parent ≠ nil
parent = root.parent
free root
parent.children[key[--dno]] = nil
if parent.child_count() ≠ 0, break
root = parent
123-45-6789
1234
123-45-6789$
1234$
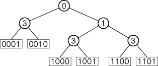
(node, node, int)
find'(parent, root, key, dno)
if root = nil
return (parent, root, dno)
if root isa data-node
return (parent,
root.data = key ? root : nil,
dno)
if root.key = key
return (parent, root, dno)
return find'(root,
root.children[key[dno]],
key,
dno + 1)

(branch-node ref, key digit, child-node ref)



